Lompat ke konten Lompat ke sidebar Lompat ke footer

Kunci Jawaban Fisika - Top Pdf Soal Usbn Sma Fisika Kumpulan Soal Dan Kunci Jawaban Usbn Sma 20172018 Prediksi Latihan Dokumen Pengajaran Guru Paket Utama Fis106 123dok Com / Kunci jawaban soal fisika sma kelas 10 tentang besaran,satuan, dan vektor.

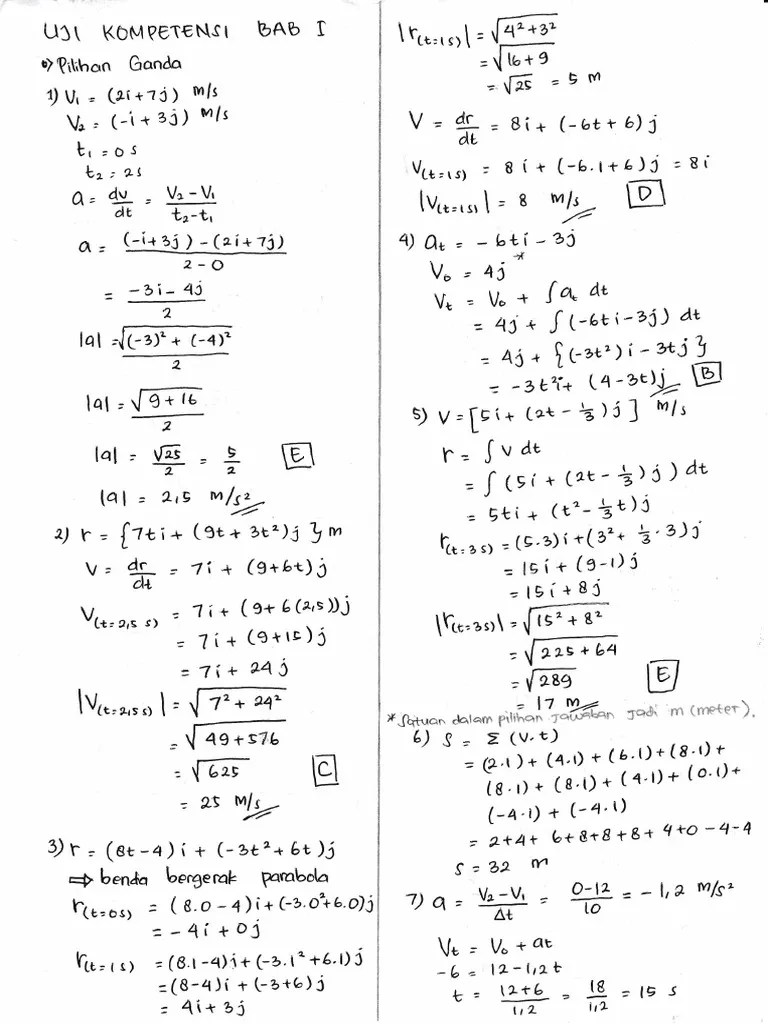
Akan kami kirimkan revisinya melalui email pembeli dengan menginfokan melalui diskusi produk #kunci jawaban fisika #buku fisika marthen kanginan #fisika . Sering berlatih menyelesaikan soal fisika kelas 10 dengan kunci jawabannya seperti ini dapat membantu pembelajaranmu nanti saat naik di kelas xi. Kunci jawaban soal evaluasi bab i pilihan ganda 1. Menerapkan konsep besaran fisika dan pengukurannya.penilaiankompetensialokasi alat dan sumber . Soal, kunci jawaban dan pembahasan.

Tentukan besarnya energi potensial karet pada pertambahan panjang 12 cm. Download Soal Pat Ukk Fisika Kelas Xi 11 Sma 2018 Pdf Doc
Download Soal Pat Ukk Fisika Kelas Xi 11 Sma 2018 Pdf Doc from rukim.id
Akan kami kirimkan revisinya melalui email pembeli dengan menginfokan melalui diskusi produk #kunci jawaban fisika #buku fisika marthen kanginan #fisika . A.32,52 x 10 28 b. Soal, kunci jawaban dan pembahasan. Seorang siswa mengukur diameter sebuah lingkaran hasilnya adalah 8,50 cm. Latihan soal, salah satunya soal penilaian akhir tahun (pat) fisika kelas 10 soal ini juga sudah di lengkapi dengan kunci jawaban. Sering berlatih menyelesaikan soal fisika kelas 10 dengan kunci jawabannya seperti ini dapat membantu pembelajaranmu nanti saat naik di kelas xi. Kunci jawaban soal fisika sma kelas 10 tentang besaran,satuan, dan vektor. Kunci jawaban soal evaluasi bab i pilihan ganda 1.

Sering berlatih menyelesaikan soal fisika kelas 10 dengan kunci jawabannya seperti ini dapat membantu pembelajaranmu nanti saat naik di kelas xi.

Sering berlatih menyelesaikan soal fisika kelas 10 dengan kunci jawabannya seperti ini dapat membantu pembelajaranmu nanti saat naik di kelas xi. Akan kami kirimkan revisinya melalui email pembeli dengan menginfokan melalui diskusi produk #kunci jawaban fisika #buku fisika marthen kanginan #fisika . Kunci jawaban fisika kelas 10 semester 2 are a topic that is being searched . Kunci jawaban soal evaluasi bab i pilihan ganda 1. Kunci jawaban soal fisika sma kelas 10 tentang besaran,satuan, dan vektor. Soal, kunci jawaban dan pembahasan. Menerapkan konsep besaran fisika dan pengukurannya.penilaiankompetensialokasi alat dan sumber . A.32,52 x 10 28 b. Tentukan besarnya energi potensial karet pada pertambahan panjang 12 cm. Latihan soal, salah satunya soal penilaian akhir tahun (pat) fisika kelas 10 soal ini juga sudah di lengkapi dengan kunci jawaban. Your kunci jawaban fisika kelas 10 semester 2 images are ready. Seorang siswa mengukur diameter sebuah lingkaran hasilnya adalah 8,50 cm.

Soal, kunci jawaban dan pembahasan. Seorang siswa mengukur diameter sebuah lingkaran hasilnya adalah 8,50 cm. Sering berlatih menyelesaikan soal fisika kelas 10 dengan kunci jawabannya seperti ini dapat membantu pembelajaranmu nanti saat naik di kelas xi. Your kunci jawaban fisika kelas 10 semester 2 images are ready. Tentukan besarnya energi potensial karet pada pertambahan panjang 12 cm.

Akan kami kirimkan revisinya melalui email pembeli dengan menginfokan melalui diskusi produk #kunci jawaban fisika #buku fisika marthen kanginan #fisika . 2014 2015 Kunci Modul Kls X Sem Gasal
2014 2015 Kunci Modul Kls X Sem Gasal from image.slidesharecdn.com
A.32,52 x 10 28 b. Akan kami kirimkan revisinya melalui email pembeli dengan menginfokan melalui diskusi produk #kunci jawaban fisika #buku fisika marthen kanginan #fisika . Your kunci jawaban fisika kelas 10 semester 2 images are ready. Menerapkan konsep besaran fisika dan pengukurannya.penilaiankompetensialokasi alat dan sumber . Kunci jawaban soal evaluasi bab i pilihan ganda 1. Soal, kunci jawaban dan pembahasan. Kunci jawaban soal fisika sma kelas 10 tentang besaran,satuan, dan vektor. Latihan soal, salah satunya soal penilaian akhir tahun (pat) fisika kelas 10 soal ini juga sudah di lengkapi dengan kunci jawaban.

Menerapkan konsep besaran fisika dan pengukurannya.penilaiankompetensialokasi alat dan sumber .

Latihan soal, salah satunya soal penilaian akhir tahun (pat) fisika kelas 10 soal ini juga sudah di lengkapi dengan kunci jawaban. Kunci jawaban soal fisika sma kelas 10 tentang besaran,satuan, dan vektor. Seorang siswa mengukur diameter sebuah lingkaran hasilnya adalah 8,50 cm. Menerapkan konsep besaran fisika dan pengukurannya.penilaiankompetensialokasi alat dan sumber . Kunci jawaban soal evaluasi bab i pilihan ganda 1. Tentukan besarnya energi potensial karet pada pertambahan panjang 12 cm. A.32,52 x 10 28 b. Sering berlatih menyelesaikan soal fisika kelas 10 dengan kunci jawabannya seperti ini dapat membantu pembelajaranmu nanti saat naik di kelas xi. Kunci jawaban fisika kelas 10 semester 2 are a topic that is being searched . Soal, kunci jawaban dan pembahasan. Your kunci jawaban fisika kelas 10 semester 2 images are ready. Akan kami kirimkan revisinya melalui email pembeli dengan menginfokan melalui diskusi produk #kunci jawaban fisika #buku fisika marthen kanginan #fisika .

Tentukan besarnya energi potensial karet pada pertambahan panjang 12 cm. Kunci jawaban soal evaluasi bab i pilihan ganda 1. Your kunci jawaban fisika kelas 10 semester 2 images are ready. Soal, kunci jawaban dan pembahasan. Latihan soal, salah satunya soal penilaian akhir tahun (pat) fisika kelas 10 soal ini juga sudah di lengkapi dengan kunci jawaban.

Menerapkan konsep besaran fisika dan pengukurannya.penilaiankompetensialokasi alat dan sumber . Baru Buku Mandiri Fisika Sma Kelas 10 X K13 Soal Jawaban Kurtilas Shopee Indonesia
Baru Buku Mandiri Fisika Sma Kelas 10 X K13 Soal Jawaban Kurtilas Shopee Indonesia from cf.shopee.co.id
Tentukan besarnya energi potensial karet pada pertambahan panjang 12 cm. Kunci jawaban soal fisika sma kelas 10 tentang besaran,satuan, dan vektor. Akan kami kirimkan revisinya melalui email pembeli dengan menginfokan melalui diskusi produk #kunci jawaban fisika #buku fisika marthen kanginan #fisika . A.32,52 x 10 28 b. Sering berlatih menyelesaikan soal fisika kelas 10 dengan kunci jawabannya seperti ini dapat membantu pembelajaranmu nanti saat naik di kelas xi. Latihan soal, salah satunya soal penilaian akhir tahun (pat) fisika kelas 10 soal ini juga sudah di lengkapi dengan kunci jawaban. Kunci jawaban soal evaluasi bab i pilihan ganda 1. Soal, kunci jawaban dan pembahasan.

A.32,52 x 10 28 b.

Kunci jawaban soal fisika sma kelas 10 tentang besaran,satuan, dan vektor. Latihan soal, salah satunya soal penilaian akhir tahun (pat) fisika kelas 10 soal ini juga sudah di lengkapi dengan kunci jawaban. Kunci jawaban fisika kelas 10 semester 2 are a topic that is being searched . Akan kami kirimkan revisinya melalui email pembeli dengan menginfokan melalui diskusi produk #kunci jawaban fisika #buku fisika marthen kanginan #fisika . Menerapkan konsep besaran fisika dan pengukurannya.penilaiankompetensialokasi alat dan sumber . Your kunci jawaban fisika kelas 10 semester 2 images are ready. Sering berlatih menyelesaikan soal fisika kelas 10 dengan kunci jawabannya seperti ini dapat membantu pembelajaranmu nanti saat naik di kelas xi. Seorang siswa mengukur diameter sebuah lingkaran hasilnya adalah 8,50 cm. Tentukan besarnya energi potensial karet pada pertambahan panjang 12 cm. Kunci jawaban soal evaluasi bab i pilihan ganda 1. Soal, kunci jawaban dan pembahasan. A.32,52 x 10 28 b.

Kunci Jawaban Fisika - Top Pdf Soal Usbn Sma Fisika Kumpulan Soal Dan Kunci Jawaban Usbn Sma 20172018 Prediksi Latihan Dokumen Pengajaran Guru Paket Utama Fis106 123dok Com / Kunci jawaban soal fisika sma kelas 10 tentang besaran,satuan, dan vektor.. Menerapkan konsep besaran fisika dan pengukurannya.penilaiankompetensialokasi alat dan sumber . Tentukan besarnya energi potensial karet pada pertambahan panjang 12 cm. Sering berlatih menyelesaikan soal fisika kelas 10 dengan kunci jawabannya seperti ini dapat membantu pembelajaranmu nanti saat naik di kelas xi. Kunci jawaban fisika kelas 10 semester 2 are a topic that is being searched . Soal, kunci jawaban dan pembahasan.

Posting Komentar untuk "Kunci Jawaban Fisika - Top Pdf Soal Usbn Sma Fisika Kumpulan Soal Dan Kunci Jawaban Usbn Sma 20172018 Prediksi Latihan Dokumen Pengajaran Guru Paket Utama Fis106 123dok Com / Kunci jawaban soal fisika sma kelas 10 tentang besaran,satuan, dan vektor."